NOUTĂȚI
DESPRE NOI
Descrierea instituţiei
Date statistice
Misiune-viziune
Sindicate
Colaborări
Concursuri, seminare, ateliere
Cercuri
Plan de acțiuni
MANAGEMENT
Cv-ul directorului
Cv-ul metodistului
Cadre didactice
Locuri vacante
TRANSPARENȚĂ
Bugetul instituției
Achiziții publice
Cheltuieli
Circulara
Ordine
Proiecte educaţionale
Strategia de dezvoltare
Donații
Dotări și Reparații
PĂRINȚI
Acte pentru înscrierea copilului
Surse pentru părinți
Districtul de şcolarizare al instituţiei
CONTACTE
menu
Meniu
NOUTĂȚI
DESPRE NOI
Descrierea instituţiei
Date statistice
Misiune-viziune
Sindicate
Colaborări
Concursuri, seminare, ateliere
Cercuri
Plan de acțiuni
MANAGEMENT
Cv-ul directorului
Cv-ul metodistului
Cadre didactice
Locuri vacante
TRANSPARENȚĂ
Bugetul instituției
Achiziții publice
Cheltuieli
Circulara
Ordine
Proiecte educaţionale
Strategia de dezvoltare
Donații
Dotări și Reparații
PĂRINȚI
Acte pentru înscrierea copilului
Surse pentru părinți
Districtul de şcolarizare al instituţiei
CONTACTE
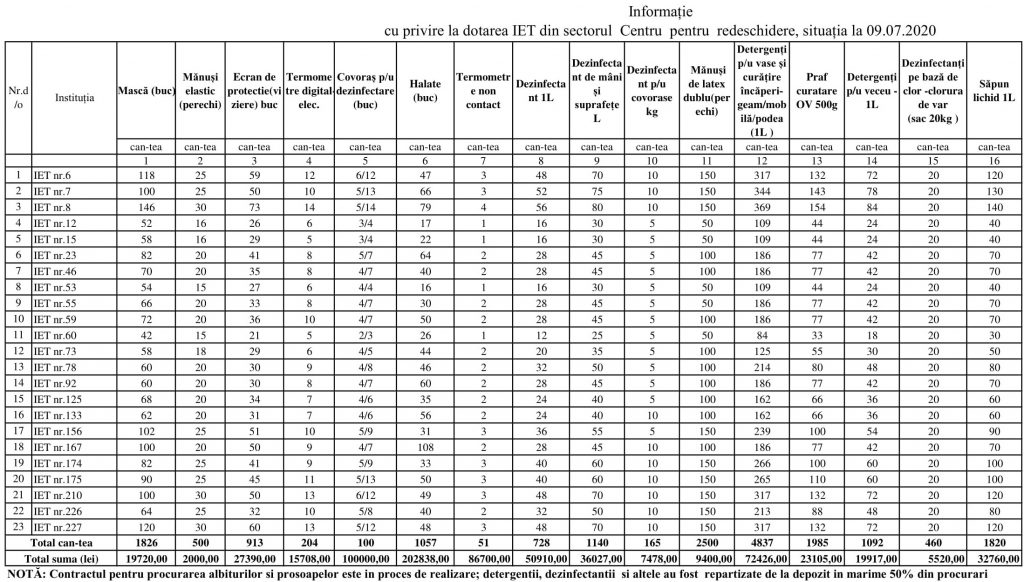
Informație pentru redeschidere IET DETS Centru